For an Energy Source, Look to the Sea
Several countries around the world have committed to reducing their dependency on fossil fuels by 2020. The three biggest consumers of fossil fuel—China, India, and the U.S.—for example, say they will reduce their use of gas, oils, and coal by 15%, 35%, and 20%, respectively. One way they might reach these goals is by wave and tidal energy.
Between 2006 and 2013, 40 different tidal energy devices were built or planned, according to International Renewable Energy Agency (IRENA). The maximum power potential for U.S. tidal energy is 50,783 megawatts, according to a 2011 estimate by the Georgia Tech Research Corp. The potential for tidal energy worldwide is 1 terawatt annually, according to IRENA.
The two current methods of tidal wave energy conversion are tidal range and tidal current technologies. Both use turbines spinning generators to convert water flow into electricity. Tidal-range technology uses dam-like structures and the height difference between the high and low tides to create a stream of high-velocity water flow. Tidal-current technologies convert the kinetic energy of already existing underwater currents into electricity.
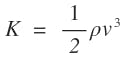
For a site to be cost-effective, the velocity of the currents must be at least 3.3 ft/s (1 m/s), but it is better if they are closer to 13 ft/s (4 m/s), according to the Northwest National Marine Renewable Energy Center. Semidiurnal (the two high and low tides of approximately the same height each day) and mixed/mainly diurnal (one high and low tide, two high tides, or two low tides each day ) have the highest potential for hydrokinetic energy. Kinetic power density measures hydrokinetic energy, which is calculated by:
Where ρ is the fluid’s density and v is the fluid’s velocity.
The minimum kinetic power density should be 1 kW/m2 (317.2 Btu/hrÎft2). Preferably, the best sites have kinetic power density of 5kW/m2 (1586.1 Btu/hrÎft2) or greater. Water is 832 times denser than air. This produces a stronger energy flow than air; hence, the rotor size in tidal turbines can be smaller.
This file type includes high resolution graphics and schematics when applicable.
Tidal-Range Technology
Tidal ranges in 2012 had a generating capacity of 514 MW. By 2020, new installations will increase that figure to around 115 GW.
The La Rance Power Plant is the oldest tidal range dam. It has been operating since 1966. Located in the Rance River of Brittany, France, the dam’s 24 turbines produce a peak of 240 Megawatts (10 MW per turbine) and produce 600 GWh per year. Brittany has a population of 4.5 million people and the plant provides 90% of the region’s electrical needs.
A current project, the POWER Program (Partners Offering a Water Energy Revolution), is similar to La Rance, but located off the east coast of China. The program will use dynamic tidal power. It involves constructing a long T- or Y-shaped dam 18.5 to 37 miles long (30 to 60 km), which would run perpendicular to the shore. The dam interrupts the tide currents and creates a hydraulic head on either side of it. The difference in height on either side of the dam and subsequent water flow powers the low-head turbines within the dam. The low-head turbines only require a small difference in hydraulic height head of about 3 to 10 feet (1 to 3 m) to operate. The tidal flow generated by the dam is 10 ft/s (3 m/s). The turbines are bi-directional so they can capture flow from either side of the dam. The rotor heads flip direction to be parallel to the flow. The dam is planned to generate 15 GW of electrical energy and could generate 23 billion kWh per year. The benefit of the DTP dam is that it does not require a high natural tide, but an open coast where tides move up the shore.
Tidal-Current Technology
The other common way to capture tidal energy uses tidal-current technology. In 2012, IRENA reported the world could get 6 megawatts of electricity from tidal currents. By 2020, that amount could increase to 200 megawatts.
Tidal-current technology places turbines under the water and in the path of strong tidal currents. Several companies are taking this approach in different parts around the world. For example, Tidal Energy Ltd. (TEL) in Wales is planning two projects that will use its DeltaStream technology. DeltaStream connects three 50-ft (15-m) diameter turbines using a triangular frame. Each turbine is rated at 400 kW at a flow speed of 7.5 ft/s (2.3 m/s). The frame does not need to be mounted to the ocean floor. The structure’s 400-ton weight keeps it in place. The mounting feet must be placed 2 inches (50 mm) deep into ocean floor with rocks that can support 5,076 psi (35MPa), or 21 inches (540 mm ) deep into an ocean floor that can only support 218 psi (1.5 MPa).
DeltaStream turbines are designed for high thrust coefficients. The thrust coefficient (CT) is the ratio between the thrust force exerted by the turbine and the dynamic force of the water. CT is helpful in evaluating the static load created by the water currents on the turbine and in designing the structural support. The power coefficient (CP) is the ratio of power extracted to the total power available in the water currents. Because the turbines are designed for high thrust coefficients instead of a high power coefficient, the angle between the turbine blades’ chord-line angles and the turbine’s axial direction tip speed ratio can be lower. (The chord line is the distance between a blade’s front and rear points). The rotor’s aspect ratio, or the ratio of the blade height to chord line, can also be lower.
The main principle behind DeltaStream is that as water velocity increases, the turbines operate at their maximum power coefficient. Once the turbines go over their optimum tip speed ratio and enter the overspeed zone, power output becomes constant. Because the turbines have specific coefficients of power and thrust, the power reaches a constant rated value and thrust falls when the turbines overspeed. Decreased thrust reduces the strain and mechanical loads into the supporting structure. This lets the triangle gravity-based frame operate within appropriate safety factors.
According to Chris Williams, development director at Tidal Energy Ltd., “A 10MW DeltaStream commercial array off St. David’s Head in Pembrokeshire (UK) is underway, which will generate enough power for approximately 10,000 homes.”
There are other companies developing similar turbine energy methods. Sea Generation Ltd. (SeaGen) and Marine Current Turbines installed their first turbine in Strangford Lough in Northern Ireland in 2008. The SeaGen S system consists of twin 16 m (52.5 ft) diameter turbines mounted to a crossbeam on a tower. Part of the tower is above water and the turbines can be lowered and raised above the water. The 1.2 MW turbines are able to provide 20 MWh of electricity/energy per day in Strangford. The turbines are placed at a depth of 38 m (124.7 ft) and a flow velocity of 2.4 m/s (7.9 ft/s).
Atlantis Resources’ MeyGen project is developing turbines in the Pentland Firth Sound in Scotland. These turbines will be able to produce a 1MW energy output at flow velocity of 2.65 m/s (8.7 ft/s) and higher. The project will be constructed in three stages: in stage 1 four 6MW turbines will approximately power 3,000 Scottish homes, stage 2 the first 86MW will power approximately 42,000 Scottish homes with 61 turbines in total, and stage 3 will see the complete 398 MW (269 turbines) approximately provide power to 175,000 Scottish homes.
Environmental and Cost Concerns
The question that becomes apparent is how this effects the environment. The La Rance Power Plant during its initial implementation saw a reduction in animal life. However, in its years of operation, the cuttlefish and sea bass have returned. The EDF also regulates the tide levels to minimize environmental impact. The newer turbines are now “fish-friendly” and do not kill or disturb aquatic life, and create less impact to the environment. Each site listed above has had to pass an Environmental Impact Assessment (EIA). The reports have stated that the effect to marine life and the environment is negligible. As the projects continue, constant monitoring will be necessary to capture unpredictable problems as they arise.
The current costs for tidal wave technologies are high. The World Energy Council in 2013 listed that the levelized cost of electricity (LCOE), which is the total lifecycle of cost for the project, for tidal wave energy plants are $450/MWh and with a capital expenditure cost (CAPEX) of $9.28 million to $16.05 million/MW. However, as technology develops and grows in the market, costs will go down. According to a study by U.S. Department of Energy in 2011, the initial cost of wind-energy farms were close to $5,000/kWh in 1982. By 2011, costs had declined to $1,500/kWh. According to IRENA’s “Tidal Energy Technology Brief Report,” the 2014 LCOE for tidal current technology is $0.38 to $0.71/kWh. By 2020, IRENA estimates costs to decrease to $0.25 to $0.34/kWh. Using the La Rance dam as an example, the cost per kWh can become competitive to current market costs. The U.S. EIA tallied the base-rate cost of electricity in France at $0.14/kWh. The IRENA lists the La Rance Power Plant energy cost rates at $0.10 to $0.14/kWh. According to Williams, “DeltaStream technology can provide a cost of energy comparative to offshore wind in the UK by 2019 [$0.22 USD/kWh].”
The Future of Tidal-Wave Energy
As countries aim to lower their fossil fuel consumption, a larger investment into third-generation technologies will take place, including tidal-wave energy. In August 2013, the U.S. Energy Department invested $16 million in 17 projects involving tidal-wave energy. Their assessment is that there is a potential for up to 1,400 terrawatt hours of energy per year. One terrawatt-hour can power 85,000 homes. One of the first projects to see deployment by the end of 2015 is the Roosevelt Island Tidal Energy Project (RITE), in which 30 turbines are being installed into New York City’s East River. They will provide 1,050 kW of electricity to 9,500 residents.
This file type includes high resolution graphics and schematics when applicable.








